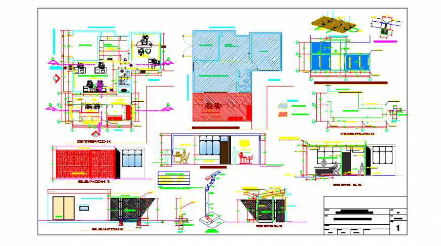
Proposed layout and detail of environment office management design drawing
Description
Here the Proposed layout and detail of environment office management design drawing with plan design drawing, elevation design drawing, section design drawing, consructon area mentioned layout design, remodeling of environment office for documentray management office design drawing with all detail drawing section in this auto cad file.
Uploaded by:
Eiz
Luna

