Bank office construction and details for ceiling dwg file
Description
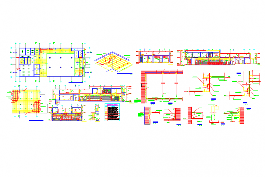
Bank office construction and details for ceiling that includes a detailed view of attention modules, placement of luminaitre in fcr of fiber plates mineral types of zumtobel staff panos, details of counting table, details of the change of the level of acoustic, isometric view of acustica, false sky floating and closing, aluminium profile of with hole adjust the screw and much more of ceiling details.
Uploaded by:
Eiz
Luna

