Bathroom Interior Design CAD Drawing Download
Description
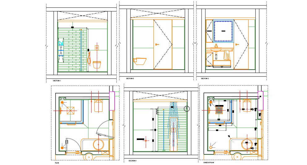
Plan and Sectional design of sanitary bathroom layout that shows a different sectional view of the bathroom along with bathroom ware details of washbasin, water closet, shower units, and some plumbing blocks design in bathroom download CAD drawing for detailed work drawing.
File Type:
DWG
File Size:
153 KB
Category::
Interior Design
Sub Category::
Bathroom Interior Design
type:
Gold

Uploaded by:
akansha
ghatge
