Reinforcement detail
Description
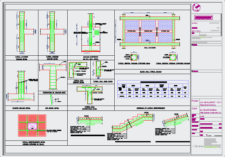
Exterior and interior column detail, column supported on R.C wall detail, column bar detail, Bar crank detail,reinforcement detail around opening wall, section detail of slab on grade, section through stair on grade or ramp on grade, block wall typical detail drawing and she dual of lintel reinforcement detail available in this file.

Uploaded by:
Wang
Fang

