LOGIN
HOME
CATEGORIES
UPLOAD FILE
PRICING
HOUSE PLAN
ABOUT US
CONTACT US
Sport Centre Design DWG file
Home
Categories
Architecture
Sports Center
Sport Centre Design DWG file
Uploaded by:
Wang
Fang
View Profile
View Profile
Description
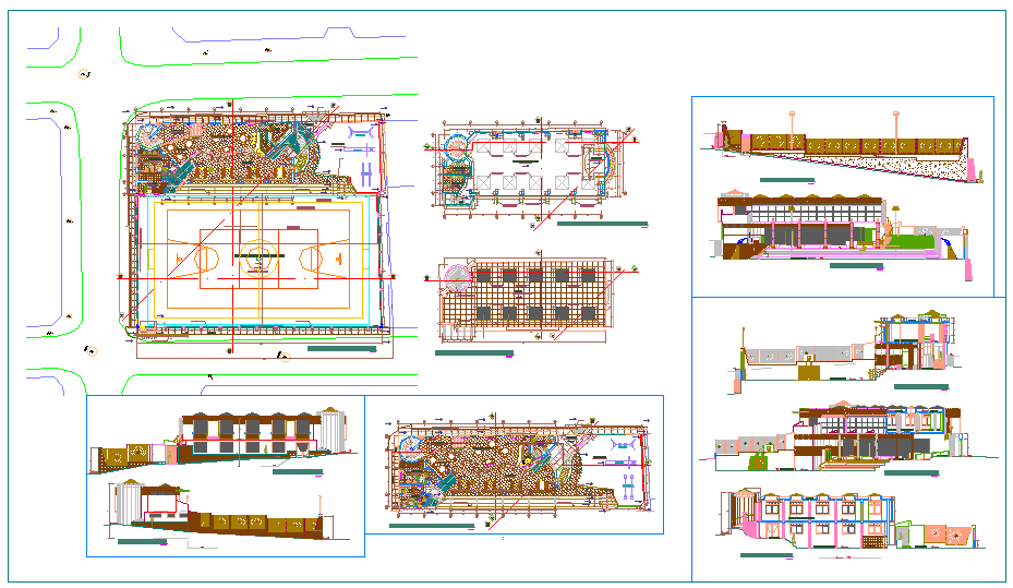
Sport Centre Design Detail. Electrical Plan, All structure Design, Beam Design, Steel bar beam detail. Roof Detail.Slab Multiple Sport area, Stair design.
File Type:
DWG
File Size:
1.8 MB
Category::
Architecture
Sub Category::
Sports Center
type:
Gold
Uploaded by:
Wang
Fang
View Profile
Download
Add to libary
find Latest
Related
Files