107’ x 49’ Auditorium Plan AutoCAD Layout File
Description
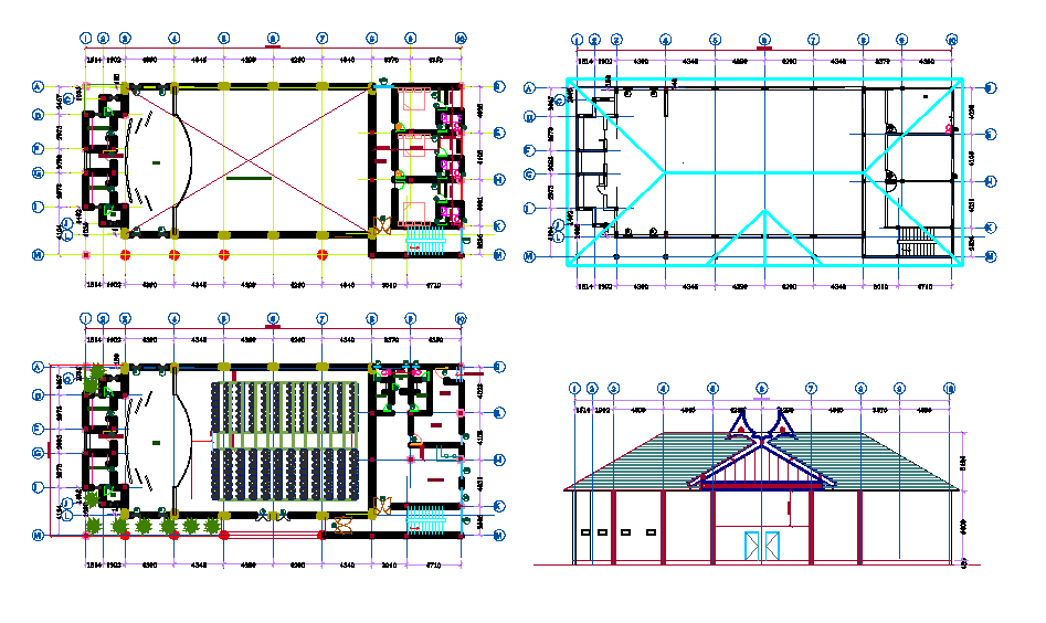
The auditorium hall floor plan AutoCAD Drawing consists of 200 people seating capacity, stage, toilet, staircase, green room, front landscape, upper side restroom and furniture plan with all dimension detail in DWG file. the elevation is also available. Thank you for downloading the AutoCAD drawing file and other CAD program files from our website. Visit CADBULL.COM Site.
Uploaded by:
K.H.J
Jani

