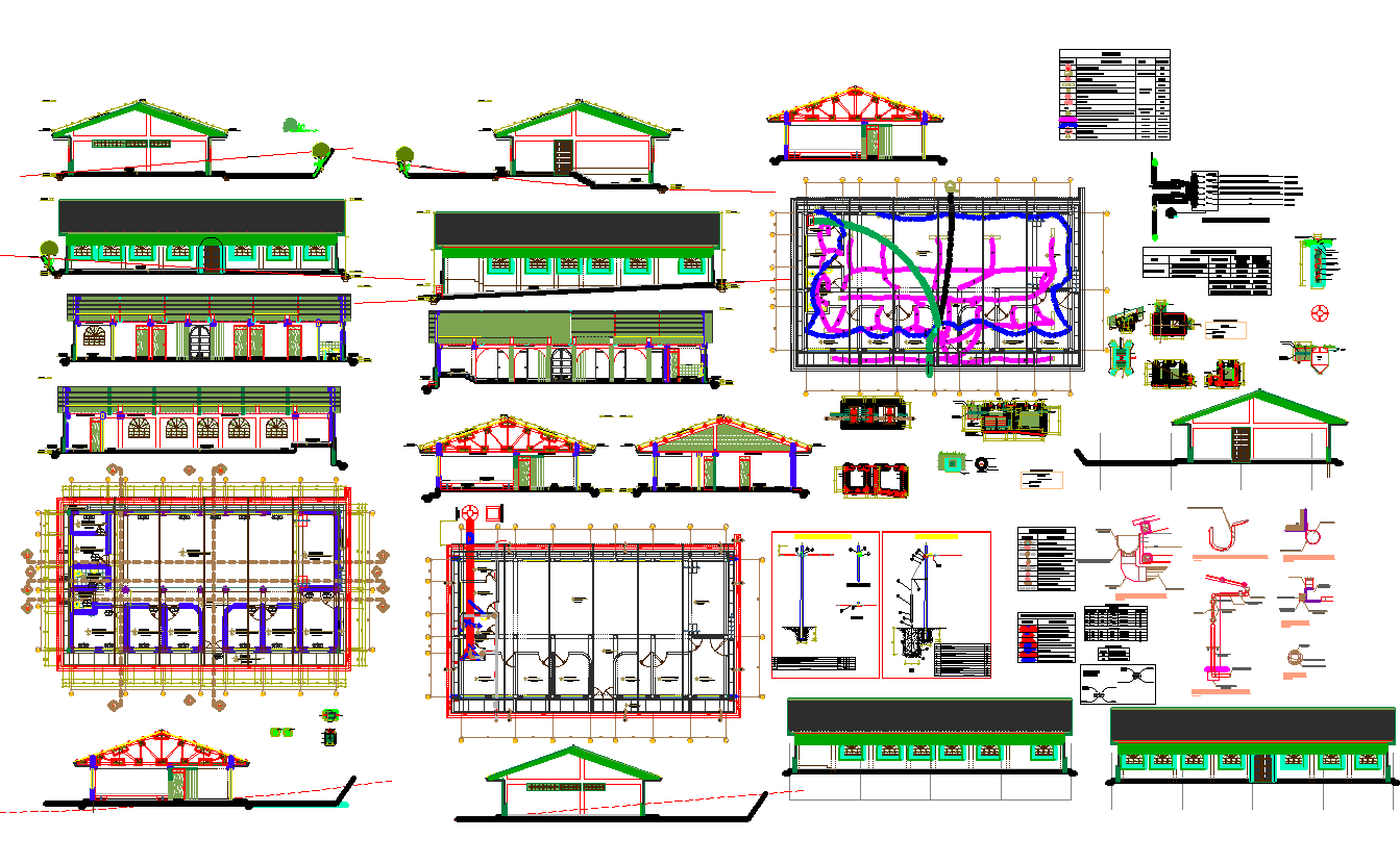
Community center Architecture and constructions detail drawing

Community center Architecture and constructions detail drawing
Profile

Uploaded by:

K.H.J

Jani

Description
Community center Architecture and constructions detail drawing include various type of plan, elevations, sections, working plan and detail in cad.
Profile

Uploaded by:

K.H.J

Jani

find Latest

Related Files

WhatsApp Chat