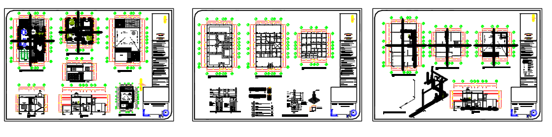
1 family housing 2 levels
Description
Layout plan of 1st level and 2nd level include 3 bedroom, kitchen, drawing room, dining ... One family housing red block foundation and slab design drawing. Here the One family housing 2 storeys with interior green house design drawing with center line design drawing, section design drawing and ... House 2 Level
Uploaded by:

