Two Story House AutoCAD DWG with Plan, Section, and Elevation Details
Description
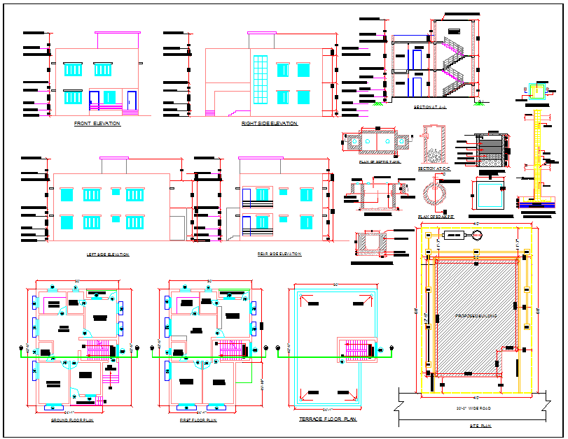
This two-story house AutoCAD DWG file presents a complete architectural layout featuring ground floor, first floor, and terrace floor plans. The file also includes front, rear, left, and right-side elevations, along with detailed sections, footing plans, and construction details. Each floor layout includes living rooms, bedrooms, staircases, bathrooms, and balcony areas, clearly labeled with dimensions for easy reference. The elevation drawings reflect a clean and modern design suitable for residential construction.
Ideal for architects, civil engineers, and designers, this DWG drawing provides a ready-to-edit structure for customized housing projects. The file also includes foundation plans, roof layouts, and structural reinforcements, allowing users to visualize the complete architectural composition of a two-story home. This CAD drawing is highly useful for design documentation, presentation, and 3D visualization references. Download this AutoCAD house design DWG file now and use it for professional or academic purposes.
Uploaded by:
athar
mansury

