LOGIN
HOME
CATEGORIES
UPLOAD FILE
PRICING
HOUSE PLAN
ABOUT US
CONTACT US
Mosque plan
Home
Categories
Architecture
Temple & Church
Mosque plan
Uploaded by:
K.H.J
Jani
View Profile
View Profile
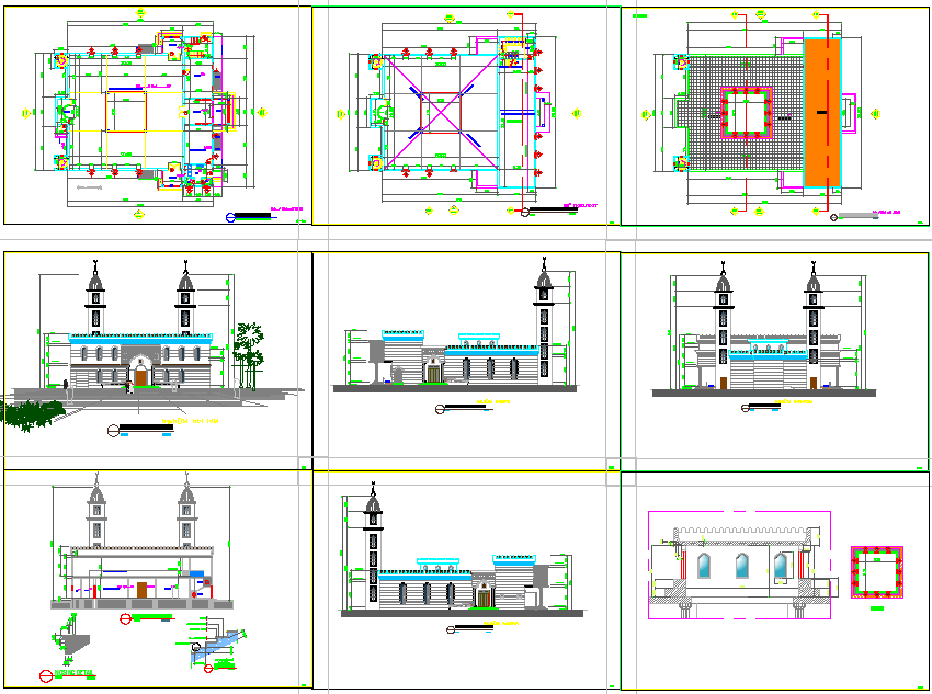
Description
Mosque plan dwg file. Find here layout plan, section plan, elevation design and construction plan with foundation detailing of Mosque project.
File Type:
DWG
File Size:
5.3 MB
Category::
Architecture
Sub Category::
Temple & Church
type:
Gold
Uploaded by:
K.H.J
Jani
View Profile
Download
Add to libary
find Latest
Related
Files