3 Storey Commercial Building AutoCAD DWG File with Full Details
Description
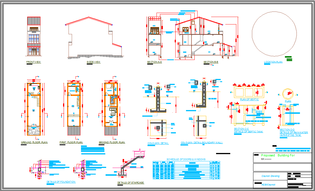
This AutoCAD DWG file showcases a complete 3-storey commercial building CAD drawing designed with precision and professional detailing. It includes floor plans, elevations, sections, and construction drawings essential for architectural and civil design purposes. The layout highlights clear dimensions, column placements, and structural components, ensuring accurate representation for design execution. Each drawing is prepared to support construction documentation and approval requirements, featuring a clean, layer-based drafting structure for ease of editing.
The DWG file also contains foundation details, column and staircase drawings, septic tank plans, and a comprehensive door and window schedule. The design ensures functional planning for commercial usage, incorporating space efficiency, structural stability, and practical service arrangements. Ideal for architects, civil engineers, and builders, this drawing provides a ready-to-use reference for design presentations, building proposals, or municipal approvals. Professionals can easily modify or scale the plan according to project requirements.

Uploaded by:
Amil
Gamage

