Detailed design of different structures in AutoCAD 2D drawing, CAD file, dwg file
Description
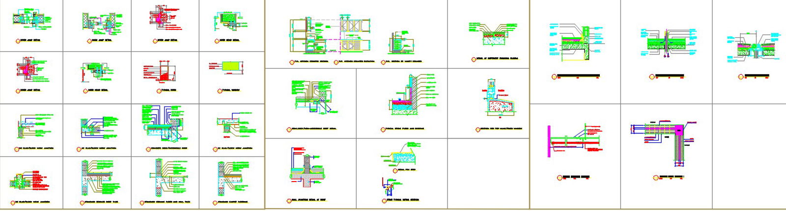
Detailed design of different structures in AutoCAD 2D drawing. Door-window section, door jamp, door head, carpet flooring, ceramic flooring, wall tiles, terrazzo roof tiles, stair section, wall junction, stone floor and skirting, fixed window, etc. designs are available in this file. For more knowledge and detailed information download the 2D AutoCAD dwg file.
Uploaded by:
viddhi
chajjed

