AutoCAD Column Design Details with Reinforcement and Measurements
Description
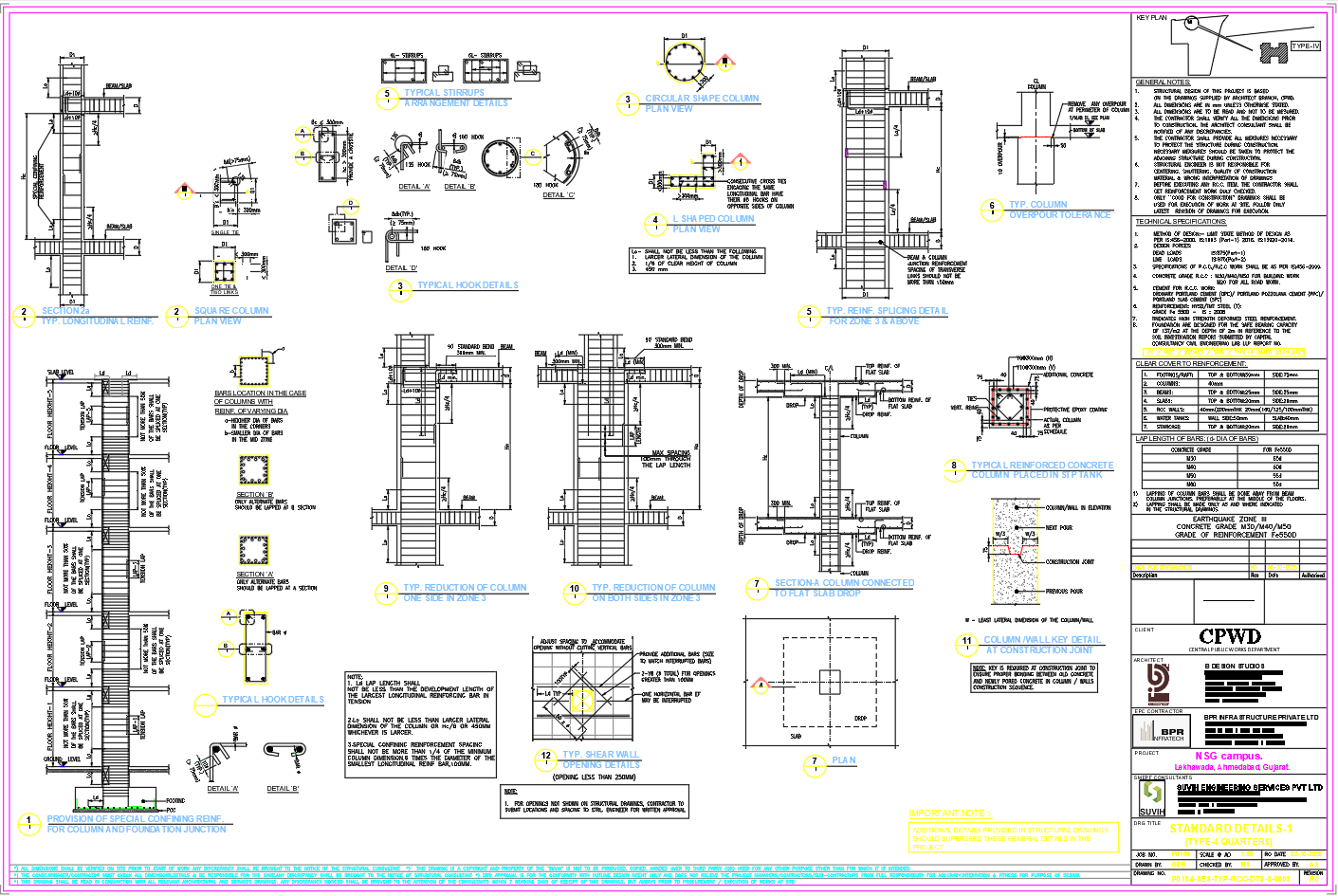
This AutoCAD drawing provides complete column design details and reinforcement specifications for Type-IV Quarters at NSG Campus, Lekhawada, Ahmedabad. It covers typical reinforced concrete columns, shear wall openings, splicing details, and column reduction in Zone 3, designed as per IS:456-2000, IS:1893 (Part-1):2016, and IS:13920-2016.
The design includes column lap lengths (50d–65d), development length (Ld+10), and special confining reinforcement spacing ?100mm. Columns are detailed with M30–M50 concrete grades and Fe550D reinforcement steel.
Clear cover varies by element: footing/raft (75mm/50mm), columns (40mm), beams (25mm), slabs (20–25mm), RCC walls (40mm), and water tanks (40mm).
It also includes hook types (135°/180°), tie and stirrup arrangements, construction joint key details, and epoxy protective coatings.
Perfect reference for road design, AutoCAD drawing, typical road design, road cross section, AutoCAD road section drawing, and urban road construction design applied to reinforced concrete structural projects.
Uploaded by:

