Reinforced Concrete Beam Detailing Drawing With Structural Notes
Description
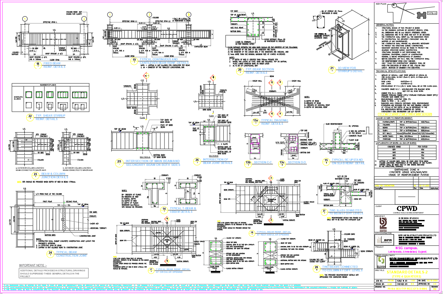
This AutoCAD DWG structural detailing drawing provides comprehensive reinforced concrete beam detailing for Zone 3, designed for precision by SUVIH Engineering Services Pvt. Ltd. for a CPWD Type-IV Quarters project at NSG Campus, Ahmedabad. It contains detailed reinforcement specifications, stirrup spacing layouts, and beam-to-column junctions to meet advanced construction standards.
Included are typical continuous, fixed, and cantilever beam reinforcement details, T-beam and I-beam profiles, diagonal reinforcement layouts, and construction joint sections. The drawing specifies stirrup spacing (< d/4, 6db & 100mm), bar lap lengths (Ld + 10), and cover distances (25mm to 75mm). It also provides detailed 3D stirrup views, beam-column intersection plans, and RC upstand slab reinforcements for openings of both rectangular and circular types.
Material specifications follow M30/M40/M50 concrete grades with Fe550D reinforcement steel, ensuring compliance with IS 456:2000, IS 1893 (Part-1):2016, and IS 13920:2016. The document includes general notes, construction standards, and foundation design parameters, making it ideal for civil engineers, structural consultants, and architects focusing on high-precision RCC detailing in seismic zones.
File Type:
DWG
File Size:
463 KB
Category::
Construction
Sub Category::
Reinforced Cement Concrete Details
type:
Gold

Uploaded by:
Niraj
yadav

