RCC Structural Beam and Slab Reinforcement Details Drawing DWG File
Description
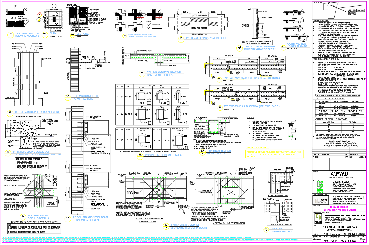
This AutoCAD DWG structural detailing drawing provides complete reinforcement details for RCC beams, slabs, and columns, meticulously designed for architects, civil engineers, and structural consultants. The drawing includes beam lapping zones, reinforcement termination details, lintel sections, and typical slab joint layouts, ensuring clarity for high-quality construction execution.
It features beam reinforcement diagrams showing main bars, distribution bars, stirrup spacing, and lapping lengths (Ld + 10). The plan also includes circular and rectangular beam openings (200–450mm) with reinforcement detailing at penetrations, coupler arrangements, and construction joints in slabs, footings, and columns. The typical two-way slab section (100mm–200mm thick) illustrates straight and bent-up bar configurations for uniform load transfer.
The document highlights technical specifications for RCC—M30/M40/M50 concrete grades and Fe550D reinforcement steel, designed as per IS 456:2000, IS 1893:2016, and IS 13920:2016 standards. Also included are column and steel beam connection details, shear wall openings, and retaining wall reinforcements, making it an essential structural reference for design and site engineers.
File Type:
DWG
File Size:
736 KB
Category::
Construction
Sub Category::
Concrete And Reinforced Concrete Details
type:
Gold

Uploaded by:
Wang
Fang

