plan and elevation of Hotel dwg file
Description
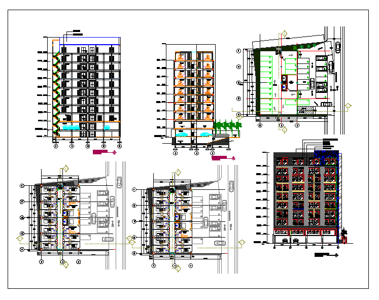
Plan and elevation of hotel whowing details of both interior and exterior .interior plan of each floor with details of furniture placing like bed sofa chairs table tv also has toilet and showing doors windows walls and exterior elevation showing no. of floors with dimensions.
Uploaded by:
manveen
kaur

