Ground floor and roof plan of annex building dwg file
Description
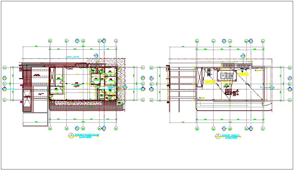
Ground floor and roof plan of annex building dwg file with view of ground floor plan view with view of entry way,hall,publication area,washing area and roof plan with detail
of dimension and slop view.
Uploaded by:

