AutoCAD Balcony and Canopy Section DWG with Detailed RCC Drawings
Description
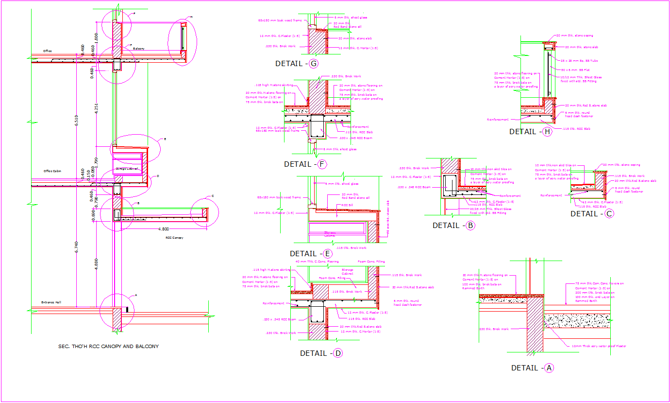
This AutoCAD Balcony and Canopy Section DWG drawing provides complete structural and sectional details for RCC construction. The drawing includes cross-sectional views, component specifications, and zoomed-in detail drawings labeled from A to H. Each section illustrates precise reinforcement placement, brick wall dimensions, slab thicknesses, and finishing materials. The file also highlights critical construction details such as canopy edge treatment, drip mold formation, and waterproof plaster applications, ensuring design accuracy and site implementation efficiency.
The AutoCAD DWG file serves as a technical reference for architects, structural engineers, and civil designers engaged in facade detailing and building construction. The layout features material specifications, RCC beam connections, and waterproofing layers for long-lasting durability. Measurements are accurately noted, enabling ease of modification and design adaptation for residential or commercial projects. Compatible with AutoCAD, Revit, and 3ds Max, this file is ideal for project documentation and rendering purposes. This detailed canopy and balcony drawing ensures that structural and aesthetic requirements are perfectly balanced for professional architectural execution.
File Type:
DWG
File Size:
90 KB
Category::
Structure
Sub Category::
Section Plan CAD Blocks & DWG Drawing Models
type:
Gold
Uploaded by:
isha
raina

