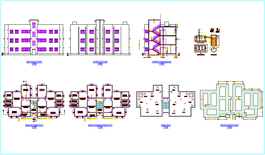
Flat plan and elevation view with tank section view dwg file
Description
Flat plan and elevation view with tank section view dwg file with view of plan and elevation view of flat with view of drawing room,bedroom,kitchen,bathroom,dining room and door window and floor view in elevation and detail view of tank section.
Uploaded by:

