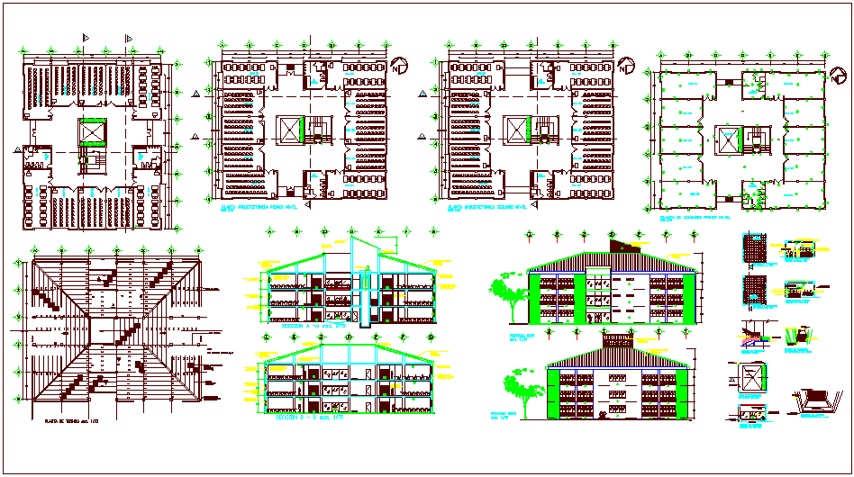
Door and window detail of school class room with plan and elevation dwg file
Description
Door and window detail of school class room with plan and elevation dwg file with view of plan view with class room view and door and window planning and schedule
view and sectional and elevation view with construction detail.
File Type:
DWG
File Size:
2.6 MB
Category::
Dwg Cad Blocks
Sub Category::
Windows And Doors Dwg Blocks
type:
Gold
Uploaded by:

