Hospital Floor Plan with Structural Column and Stair Design
Description
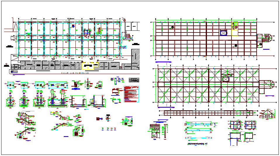
Structural design view of hospital with column and stair view detail dwg file with plan
view with area distribution and view of column and its distribution view and stair view
detail of column and stair with necessary dimension view.
Uploaded by:

