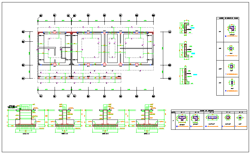
Structure details information of beam and columns dwg file
Description
Structure details information of beam and columns dwg file, Structure details information of beam and columns, reinforcement detail and steel bars specification and detailing view of structure member, beam And columns steel stirrups detail
File Type:
DWG
File Size:
998 KB
Category::
Structure
Sub Category::
Section Plan CAD Blocks & DWG Drawing Models
type:
Gold
Uploaded by:

