Family Bungalow 2D CAD Drawing with Floor Plan Section and Elevation
Description
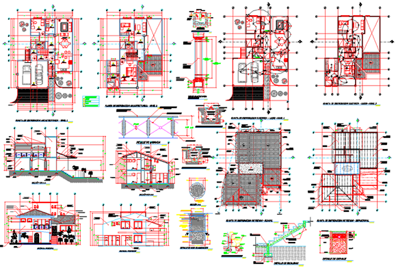
This Family Bungalow CAD Drawing provides a comprehensive 2D AutoCAD DWG layout featuring floor plans, sectional views, and elevation designs for a complete residential project. The plan includes ground-floor and first-floor layouts with detailed room arrangements such as living areas, bedrooms, kitchen, bathrooms, and garage spaces. The sections and elevations display the architectural structure, building height, window placements, and façade details with precise measurements. The layout ensures clarity and accuracy, making it suitable for design presentations, approval drawings, and construction documentation.
The family bungalow CAD file is an excellent reference for architects, civil engineers, interior designers, and builders working on residential housing projects. It includes labeled dimensions, material specifications, and detailed annotations for easy modification in AutoCAD, Revit, or SketchUp. Each detail, from roof sections to staircase layouts, is designed to maintain balance between functionality and aesthetics. This file helps professionals visualize and execute bungalow designs effectively, offering an ideal reference for small to medium residential developments. With its clear presentation and detailed layout, it stands as a reliable architectural guide for modern bungalow projects.

Uploaded by:
john
kelly
