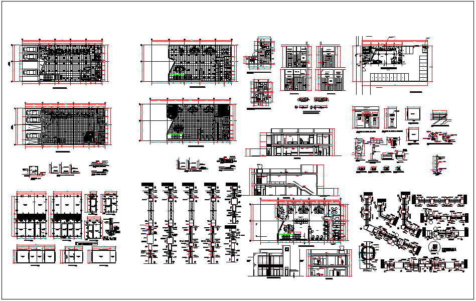
Bank building structure detail view dwg file
Description
Bank building structure detail view dwg file, Bank building structure detail view with specifications detail, dimensions detail, floor plan view detail, section plan view, wash area sanitary detail and specification with dimension detail, central ac vents detail etc
Uploaded by:

