Modern Highrise Apartment CAD Design with Detailed Structural Layouts
Description
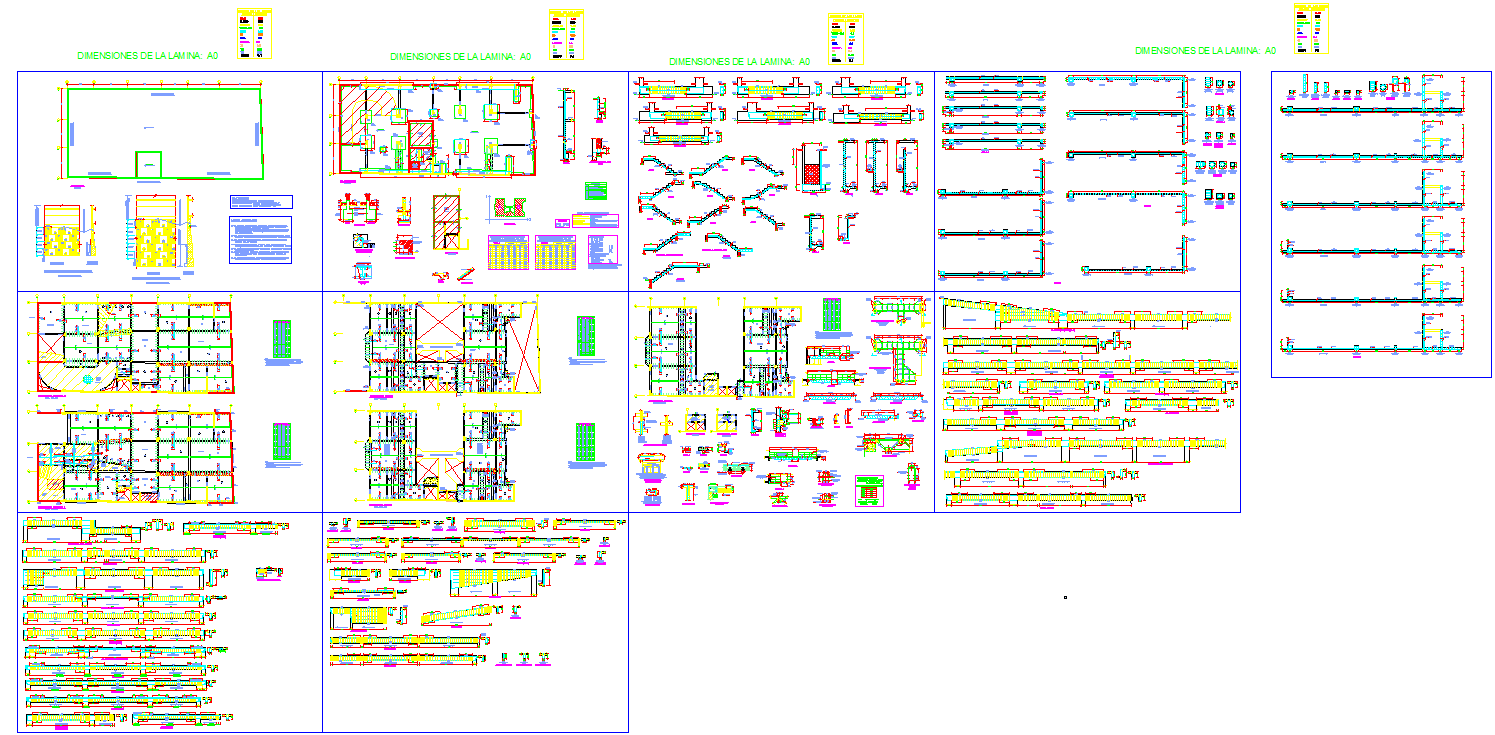
This high-rise apartment AutoCAD design provides a complete set of architectural and structural drawings for multi-floor residential planning. The layout includes detailed floor plans with room arrangements, wall partitions, column positions, service zones and circulation spaces designed for efficient urban living. Each level is drawn with precise grid lines, allowing architects and engineers to align structural components accurately. The drawing also includes core elements such as staircases, lift shafts and utility shafts, ensuring clarity for vertical movement and service planning. Reinforcement notes, material specifications and component schedules help users understand the structural logic behind the apartment tower.
The file further presents detailed building elevations, sectional views and construction details essential for highrise development. These include beam and slab reinforcements, foundation detailing, wall sections, joinery elements and façade components, all illustrated with professional clarity. Additional sheets show column schedules, floor framing diagrams, connection details and structural annotations, making this DWG highly valuable for architectural design, engineering coordination and construction documentation. Whether used for academic studies, professional references or client presentations, this highrise apartment drawing provides a complete and organized design package for modern urban residential buildings.

Uploaded by:
Eiz
Luna

