Community hall architectural plan,sectional and elevation with sanitary,hydraulic and structural view dwg file
Description
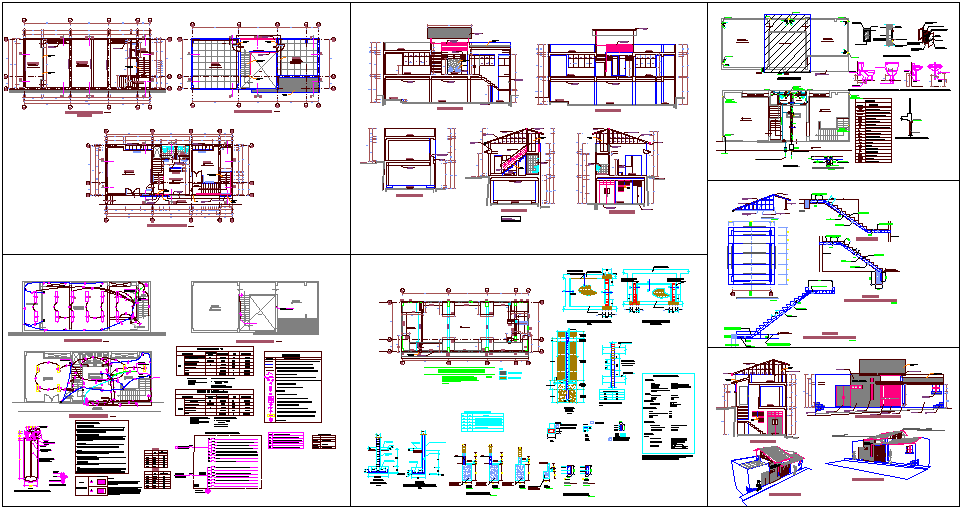
Community hall architectural plan,sectional and elevation with sanitary,hydraulic and structural view dwg file in architectural plan with entry way,deposit area ,hall and auditorium,washing and office area view with elevation,section and sanitary,hydraulic and structural view with necessary dimension.
Uploaded by:

