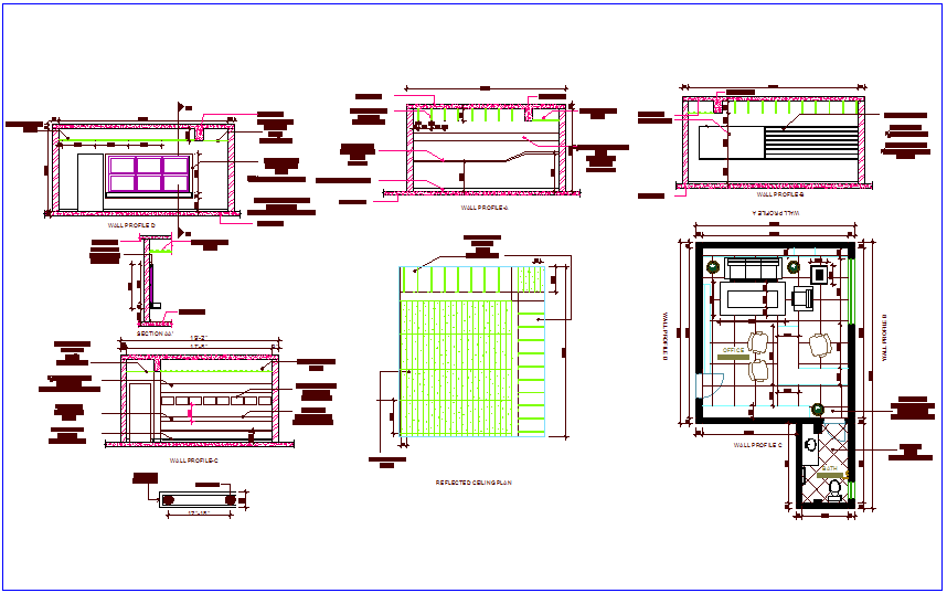
Office wall profile plan with ceiling plan dwg file
Description
Office wall profile plan with ceiling plan dwg file in wall profile view with wall view and
RCC slab view with necessary dimension and section view and ceiling plan view with
ceiling damp view with necessary dimension.
Uploaded by:
