Municipality Council Building Layout Plan with Structural Details

Municipality Council Building Layout Plan with Structural Details
Profile

Uploaded by:

sherif

abdelfattah

Description

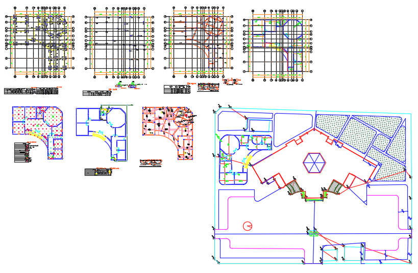
This Municipality Council AutoCAD DWG file provides a detailed building layout plan with complete architectural and structural information. The drawing includes the ground floor, elevation view, section view, and service area layout, giving a clear representation of the municipal council’s design. Measurements are accurately marked, showcasing the internal room arrangements, public service zones, and corridor placements essential for planning and approval processes. Each section is precisely drawn to maintain architectural balance and functional efficiency.

This DWG file is an excellent resource for architects, civil engineers, and builders who work on urban planning, public infrastructure, or government building projects. It helps users analyze space utilization, structural distribution, and alignment accuracy. The drawing is suitable for use in municipal design documentation, project submission, or 3D model references. Subscribing to this file gives professionals access to a highly accurate AutoCAD design that enhances productivity, improves visualization, and ensures compliance with municipal standards. Perfect for both educational and professional use, this file supports smart and sustainable design practices in civic arch itecture.

Profile

Uploaded by:

sherif

abdelfattah

find Latest

Related Files