Septic Tank CAD File with Structural Layout and Sectional Detailing
Description
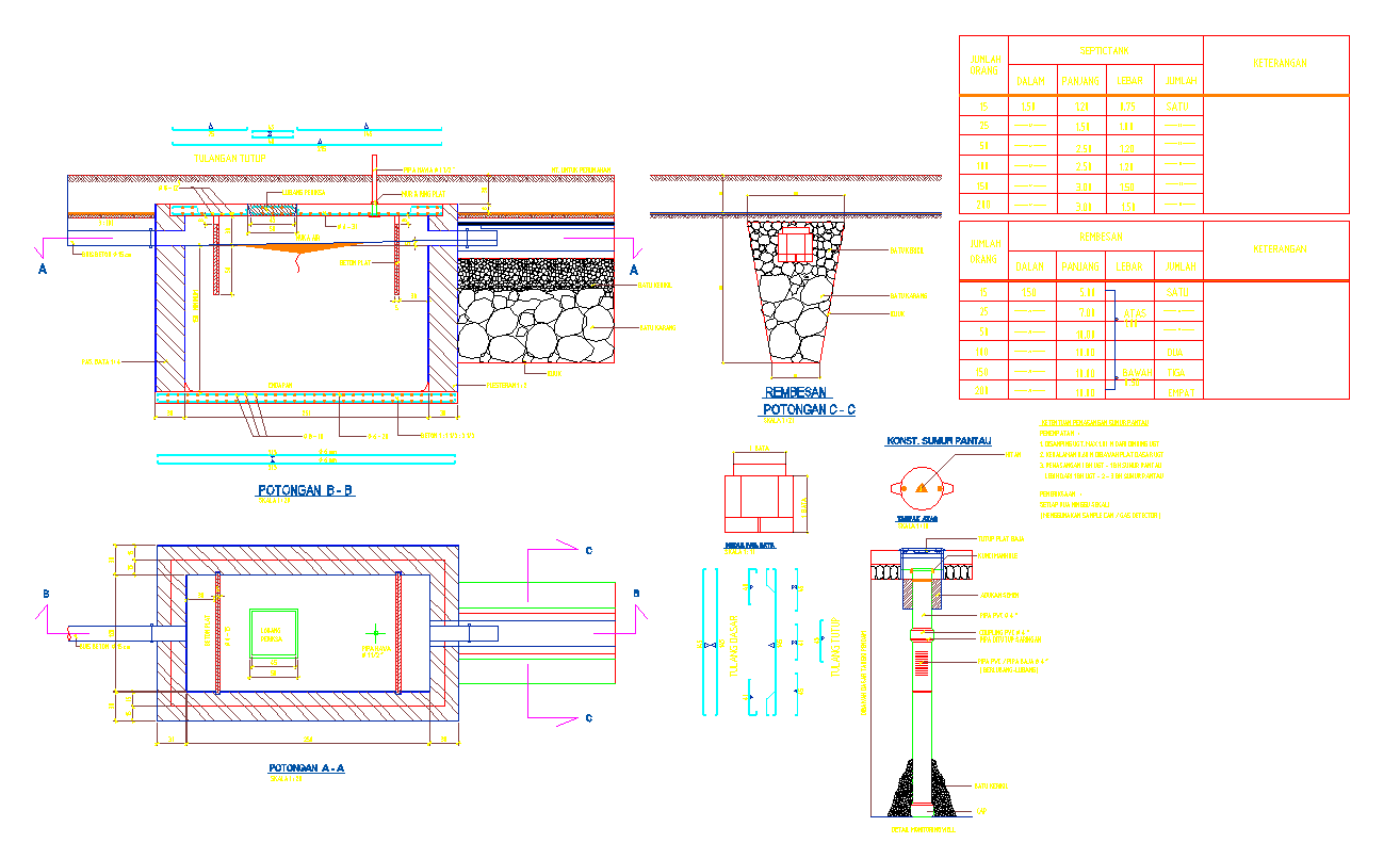
This Septic Tank CAD file provides a detailed structural layout and sectional drawing designed for accurate on-site implementation. The drawing includes top view, sectional elevation, inlet and outlet pipe positioning, and chamber division details. The file clearly defines the dimensions of each component, including inlet chamber, digestion tank, and soak pit arrangement, ensuring compliance with construction and sanitation standards. This well-organized design helps in effective wastewater treatment and long-term maintenance planning for residential or commercial structures.
This DWG file is a valuable reference for civil engineers, architects, builders, and contractors involved in plumbing or sanitation infrastructure. It ensures a precise understanding of tank capacity, wall thickness, partitioning, and pipe alignment for seamless execution. The design adheres to functional, environmental, and safety standards, making it ideal for educational, professional, or governmental use. Subscribing to this AutoCAD DWG file allows professionals to access editable, accurate, and ready-to-use septic tank plans that improve design efficiency and project coordination.
Uploaded by:
saiful
bahri
