Floor plan of hospital dwg file
Description
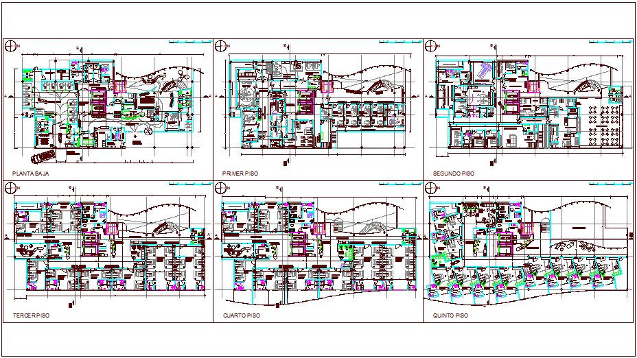
Floor plan of hospital dwg file in first floor plan with view of area distribution and view of
wall.entry way,different consultant room,washing area,patient room,laboratory,emergency area,hall,parking area with ambulance view and second to sixth floor plan view with necessary dimension.
Uploaded by:

