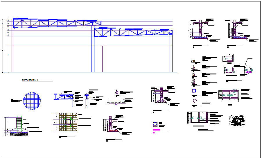
Structural elevation view with detail for automobile agency with showroom dwg file
Description
Structural elevation view with detail for automobile agency with showroom dwg file in elevation with view of angle and tube joint view and detail of column with foundation view and detail of solid slab with different types of column section view with necessary dimension.
Uploaded by:

