Hotel Project Design DWG with Multi Floor Plans and Site Layout
Description
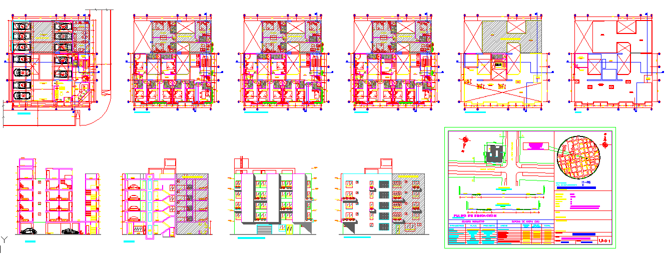
This Hotel Project Design DWG presents a complete architectural layout featuring the site plan, ground floor plan, first floor plan, and typical second and third floor plans with clearly marked structural grids and room measurements. The drawing includes well-arranged bedroom units, internal corridors, staircases, lift shafts, and service areas designed for smooth circulation. The cellar floor plan highlights a planned parking area, vehicle movement, and support rooms designed with accurate dimensions. The design also shows the dining restaurant, lobby connections, and reception zones organized to support guest flow and functional hotel operations.
The architectural set also features elevation drawings and section views that illustrate façade design, floor heights, window placement, and structural layering for construction clarity. Lush green lawns, landscaped open areas, and a spacious banquet hall are included in the planning to enhance guest comfort and usability. The layout also incorporates a conference hall designed for a 3-star hotel setup, offering ample seating and clear access routes. This DWG file is ideal for architects, civil engineers, and designers who need a complete and editable hotel project layout that aligns with real site planning and hospitality design standards.

Uploaded by:
Jafania
Waxy
