Steel structure view with detail for automobile dealer ship dwg file
Description
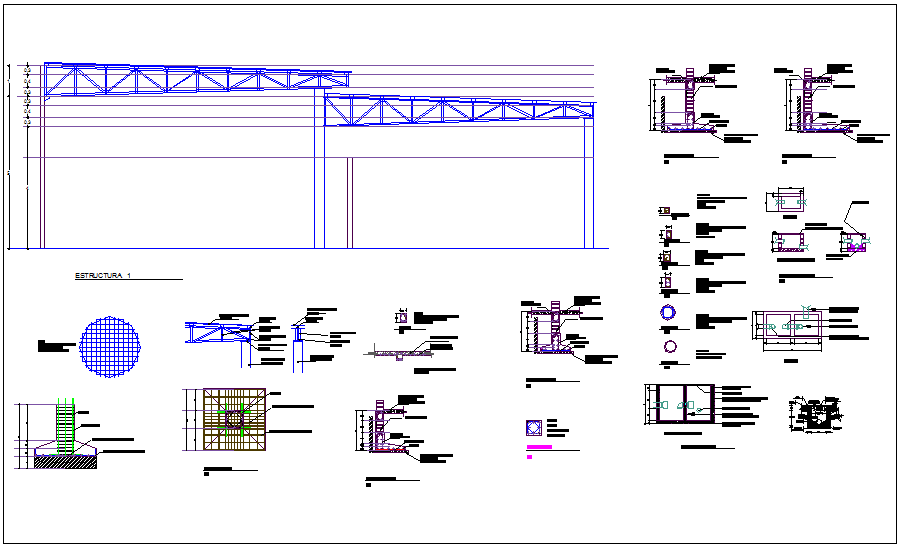
Steel structure view with detail for automobile dealer ship dwg file in elevation with view of truss
area view with different connection of Chanel and column detail view with its foundation view and
related detail view with necessary dimension.
Uploaded by:

