Health Centre Detail file
Description
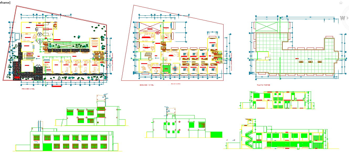
Health Centre Detail file DWG, Health Centre Detail file Download file, Health Centre Detail file Design. Urgent care clinics are usually led by physicians. The much smaller category of retail clinics, which are stand-alone clinics located inside large retail stores or shopping malls, tend to be headed by nurse practitioners.

Uploaded by:
john
kelly
