Restaurant Design plan project
Description
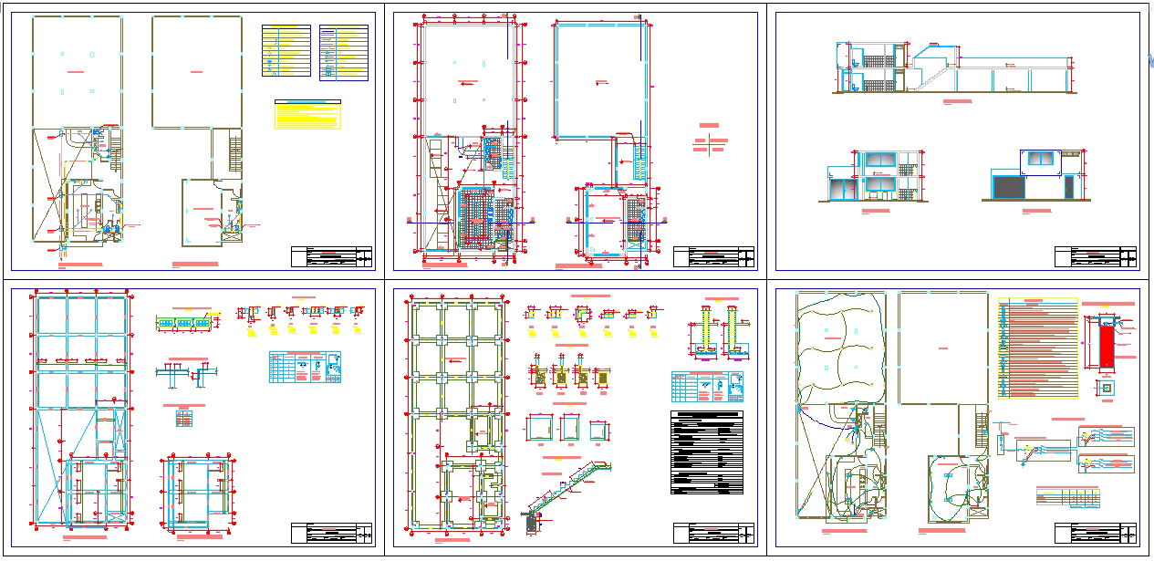
The architecture layout plan of ground floor plan & first floor plan also detailing of front side & back side elevation plan and section A B C & D plan of restaurant.

Uploaded by:
Harriet
Burrows

Uploaded by:
Burrows