False ceiling design view dwg file
Description
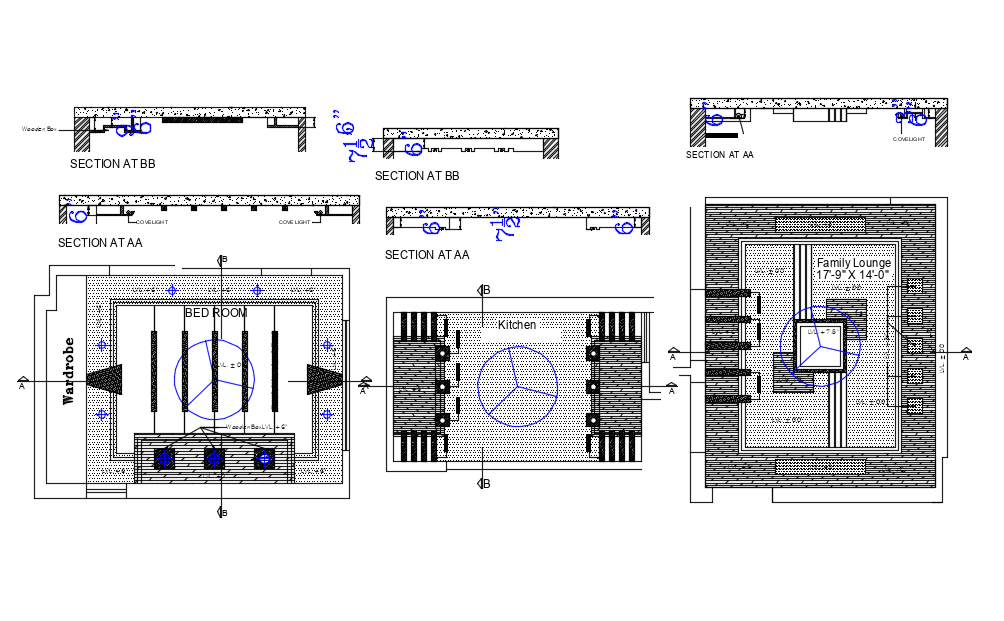
False ceiling design view dwg file in plan with view of area distribution with view of wall and area distribution and view with bedroom view,equipment position with view of wardrobe,wooden box,
family lounge with position of furniture area view with view of section view with necessary detail.
Uploaded by:

