hospital
Description
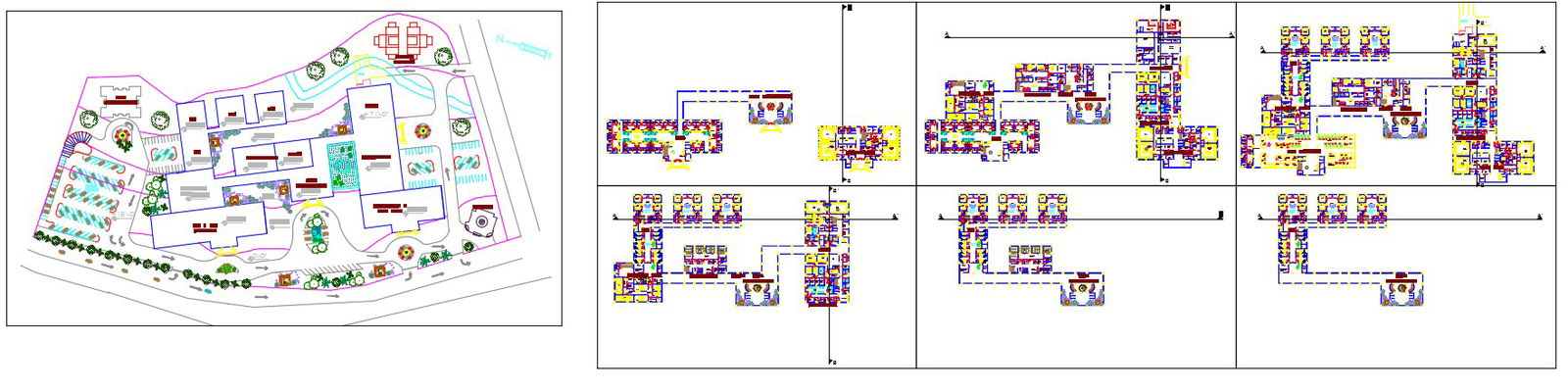
300 bed hospital detailed plan on contour site with all fixtures and parking and complete master plan the hospital includes emergency department with medical and surgica emergency pediatrics , gynecology cardiology department day hospital blood bank and dispensary
Uploaded by:
defne
omer
