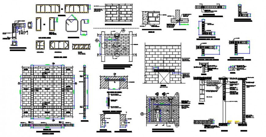
Brick masonry and reinforcement detailing in structure drawings 2d view dwg file
Description
Brick masonry and reinforcement detailing in structure drawings 2d view dwg file that shows foundation footing details along with reinforcement details in tension-compression zone along with main and distribution hook up and bent up bars details with concrete masonry and other details also include in drawings.
File Type:
DWG
File Size:
679 KB
Category::
Construction
Sub Category::
Reinforced Cement Concrete Details
type:
Gold
Uploaded by:
Eiz
Luna

