Bridge project
Description
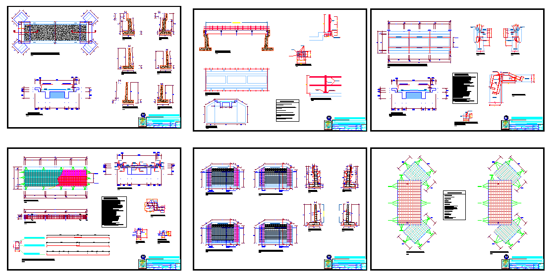
This bridge design draw in autocad format. The cable-stayed bridge is optimal for spans longer than cantilever bridges, and shorter than suspension bridges. Bridge project Detail, Bridge projectDownload file, Bridge project design.

Uploaded by:
Jafania
Waxy

