Structure Design Of Concrete Expansion Joint AutoCAD File
Description
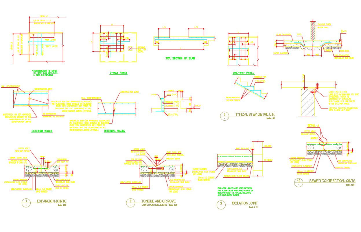
Structure Design Of Concrete Expansion Joint AutoCAD File; this is the structure detail of expansion joints includes steps detail, one-way panel detail, two-way panel detail, internal wall details, sawed construction joins detail, and much more other detail related to structure, this is the CAD file.
Uploaded by:
Rashmi
Solanki

