Villa Architecture Ground Floor And First Floor Plan Drawing
Description
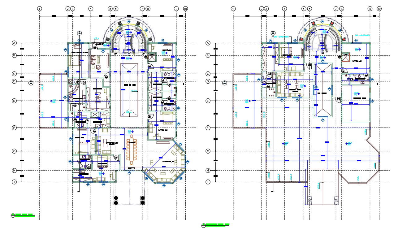
The luxurious villa architecture ground floor and first-floor plan drawing with centerline plan and furniture layout plan design. also has all dimension detail. download vill floor plan design DWG file.
Uploaded by:
