Office Electrical interior Design Layout Plan AutoCAD File
Description
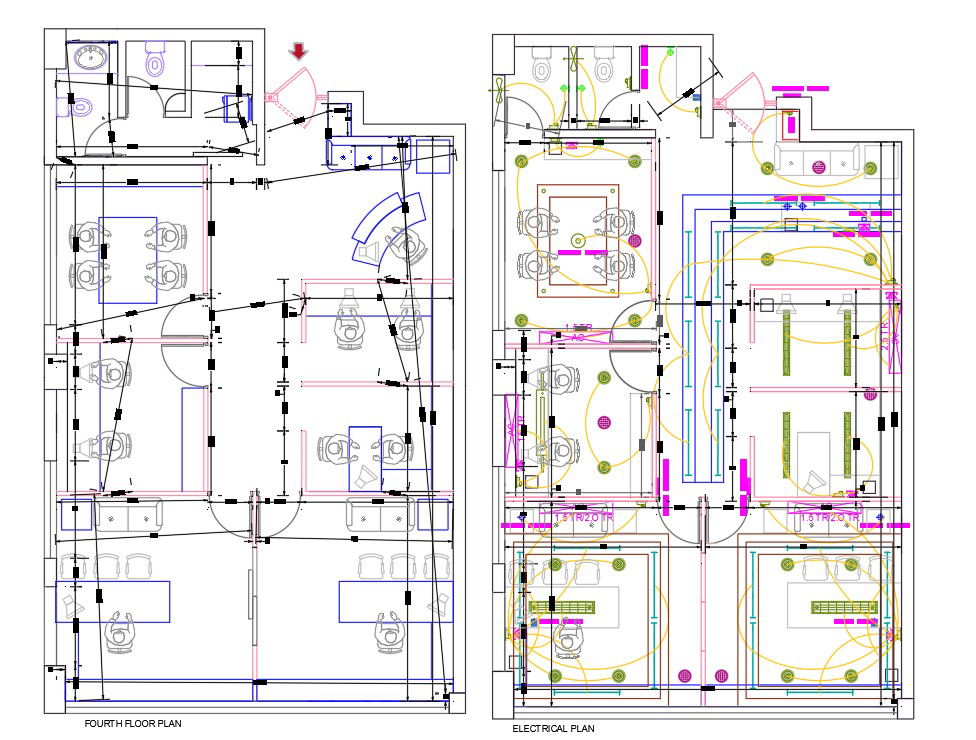
The office plan with working desk and electrical layout plan with with wiring and false ceiling light point design which includes reception area, toilet, meeting room, staff area with working desk, account department, marketing department, manager cabin and director cabin. download office electrical interior design DWG file.
File Type:
DWG
File Size:
145 KB
Category::
Interior Design
Sub Category::
Modern Office Interior Design
type:
Gold
Uploaded by:

