House Working Plan With Building Sectional Elevation Drawing DWG File
Description
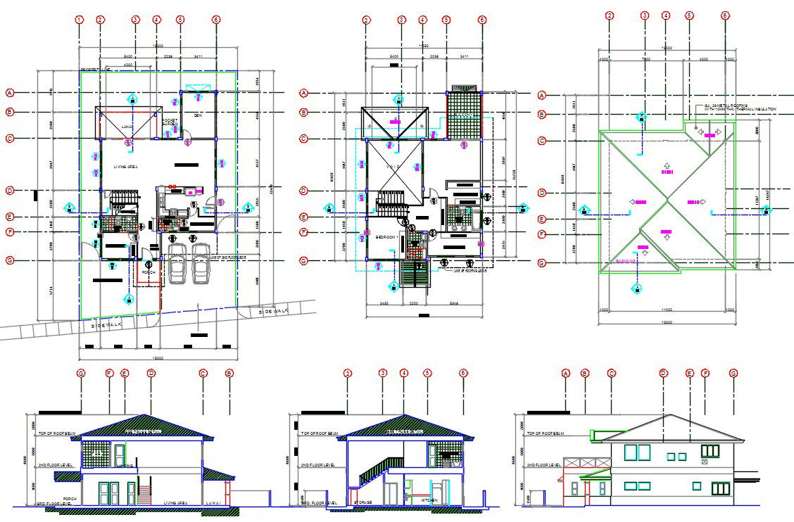
The Working plan CAD drawing includes ground floor, first floor and truss roof plan with center line and dimension detail which consist living area, dining area, kitchen, guest room, 3 bedroom, balcony walk in closet, garden, and the accommodation of 2 big car parking space with compound wall design. also has 2 storey house building sectional elevation design. download free architecture working house project drawing DWG file.
Uploaded by:

