Public Health center design drawing
Description
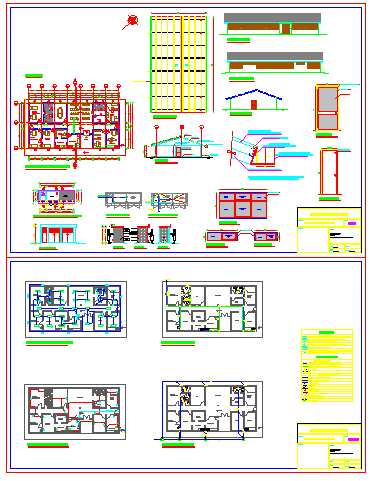
Here the ministry of public Health center drawing with plan, section elevation drawing,Rain fall water collector detail drawing in this file.

Uploaded by:
Fernando
Zapata

