House plan design with structure drawing

House plan design with structure drawing
Profile

Uploaded by:

zalak

prajapati

Description
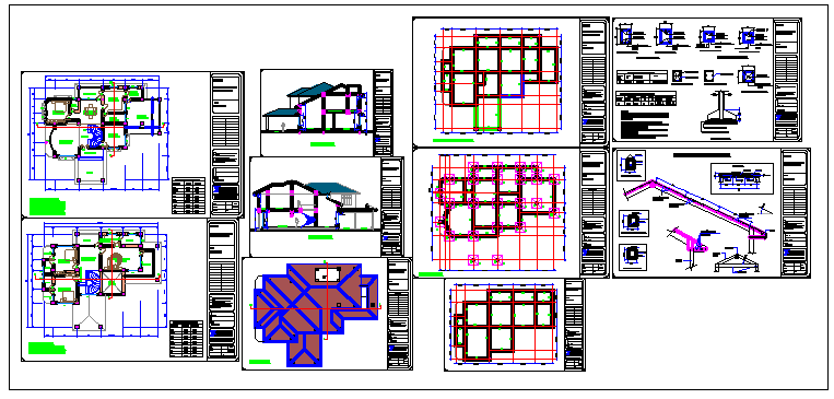
This is a House plan design with structure drawing with beam detail drawing,footing detail drawing, column drawing, roof detail drawing in this auto cad file.
Profile

Uploaded by:

zalak

prajapati

find Latest

Related Files

WhatsApp Chat