Architectural design of center of cultural design drawing
Description
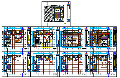
This is a Architectural design of center of cultural design drawing with center line design drawing,column design drawing, beam design drawing in this auto cad file design drawing in this auto cad file.
Uploaded by:
zalak
prajapati

