Mini Restaurant Design CAD Drawing with Floor Plan and Elevation
Description
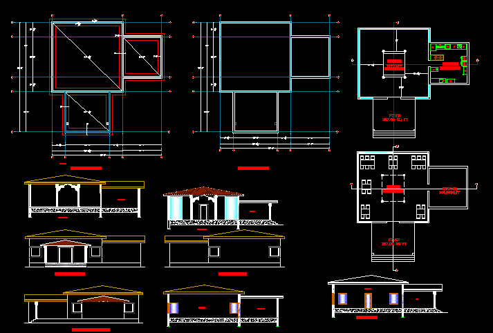
This Mini Restaurant Design CAD drawing features a complete architectural layout that includes floor plans, sections, and elevations for a compact dining space. The plan is designed to balance functionality and aesthetics, with details such as centerline layout, furniture placement, and roof structure clearly illustrated. It provides a professional reference for architects, civil engineers, and designers who are planning small-scale commercial or hospitality projects.
In this AutoCAD DWG file, you can explore multiple elevations and sectional views that enhance visualization and accuracy during execution. The design includes a seating area, kitchen, entry, and service spaces, all arranged efficiently within a limited footprint. Every dimension and annotation in this CAD file ensures construction-ready precision and clarity. Download this 2D CAD drawing now to get a full view of a mini restaurant layout designed for modern use.

Uploaded by:
Neha
mishra

