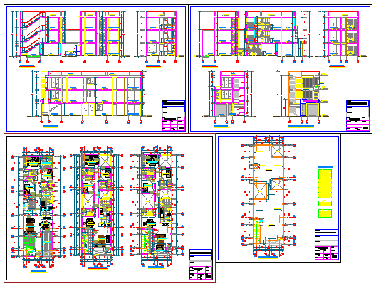
Presentation layout of Multi family housing design drawing
Description
Here the Presentation layout of Multi family housing design drawing with plan design drawing, stair section design drawing, section design drawing, elevation design drawing in this auto cad file.
Uploaded by:
zalak
prajapati

