Social housing project design drawing
Description
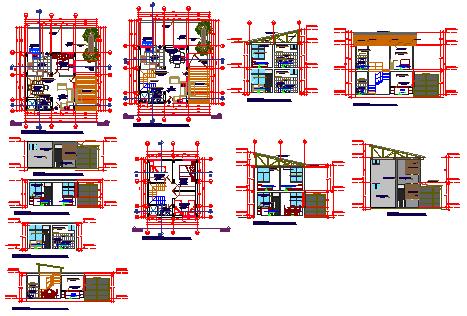
Here the Social housing project design drawing with plan design drawing, furniture layout design drawing, section design drawing, working drawing, elevation design drawing,stair case section design drawing,inner side section design drawing in this auto cad file.
Uploaded by:
zalak
prajapati

