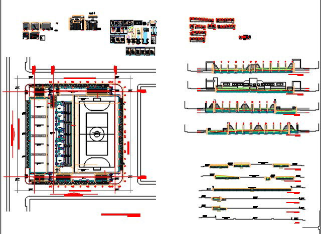
sports complex perimeter fence.

sports complex perimeter fence.
Profile

Uploaded by:

zalak

prajapati

Description
Here the autocad file of Plane perimeter fence of sports complex in which architecture is attached; structures and details several of building the fence in question.
Profile

Uploaded by:

zalak

prajapati

find Latest

Related Files

WhatsApp Chat